Opinion
By Deb Boelkes
10/29/25
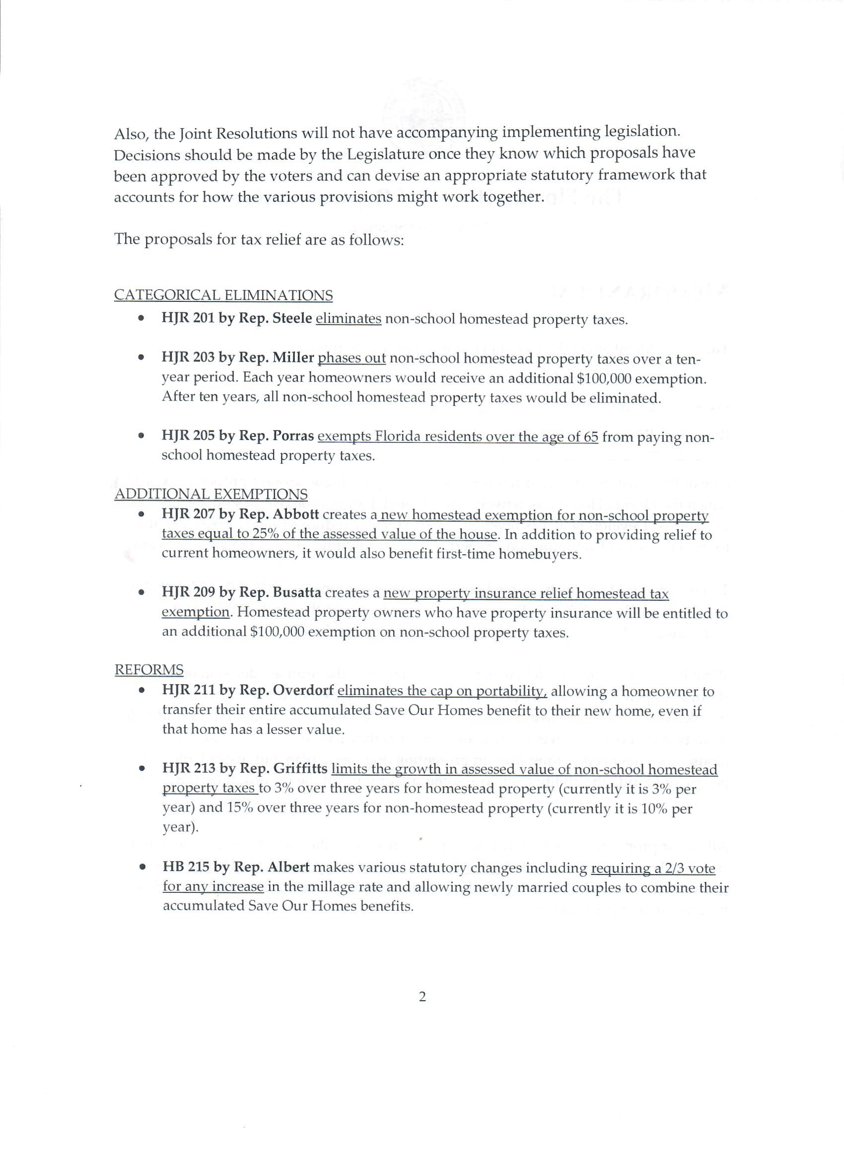
| What’s Happening in Tallahassee? To We the People – It was great to see many of you at our Monday night meeting. Again, a big thanks to both our State Senator, Clay Yarborough, and our Florida State House Representative for Nassau County, Dean Black, for sharing what went on within our State Legislature during the most recent session (such as bills that passed and those that didn’t) along with some of the proposed bills to be presented during the upcoming legislative session in January. One of the hottest topics discussed Monday evening was the Governor’s proposed elimination of residential property taxes. In response the various questions raised by the audience, our representatives gave us a great handout: a Memorandum from the Florida House Speaker, Daniel Perez, which identifies various proposals that have been presented by the Florida House Select Committee on Property Taxes. The 2-page hand-out is included immediately below for your review: |
![]() |
![]() |
| Another topic of discussion on Monday evening was the planned 2027 launch of the second campus of Cornerstone Classical Academy (a free-to-attend public charter school). This newest campus will be built right here in Nassau County, thanks to the Raydient Places + Properties subsidiary of Rayonier who commissioned Cornerstone to establish a campus in the new Garden District of Wildlight. A Florida House Appropriations Project Request to support the buildout of the new Wildlight campus has been submitted for consideration for fiscal year 2026 – 2027. Assuming all the stars and moons align, upon opening Cornerstone – Wildlight will initially offer seats to children in grades pre-K through 5. One additional grade level will be added each year thereafter until the school achieves its envisioned full complement of grade levels spanning pre-K through 12th grade. Should you wish to learn more about and/or experience the Cornerstone Classical Academy for yourself, I’m always happy to escort small groups of prospective parents, teachers, and/or donors on a tour of their Jacksonville campus. Moreover, if you would be interested in writing a letter to Governor DeSantis to urge his support for Cornerstone’s Wildlight Appropriations Project Request, please let me know and I’ll provide more detail. When we all work together, we can make amazing things happen! The next Joe Lange “Who Dunnit” installmentIf you have been following the investigative series by Joe Lange, he hasn’t reached the end yet. His hot-off-the presses NEXT chapter in the series is yet another stunning eye-opener about things we thought we knew but apparently really didn’t. In fact, Joe explains that what the media told us at the time wasn’t necessarily true (surprise, surprise). Enjoy this newest installment as Joe Lange uncovers the intriguing, and sometimes nefarious, goings-on within our federal government. |
Deb Boelkes
Business World Rising, LLC
1417 Sadler Road, Suite 207
Fernandina Beach, FL 32034
The views expressed in this commentary are those of the author and do not necessarily reflect the official position of Citizens Journal Florida










