Opinion
By Jeff Childers

12-21-22
Good morning and Happy Wednesday, C&C! Today’s packed roundup includes: I pushback on a new round of fear mongering by public health experts, this time over a few cases measles; Cleveland Clinic pre-print is bad news for jabs, and for people who took lots of them; New Jersey school returns to mandatory face masking for covid; feminists aren’t outraged when the Taliban criminalizes educating women; more Twitter files drop, this time about military propaganda; the Epoch Times reveals January 6th censorship of conservative voices; and my greatest wish for Christmas.
🗞*WORLD NEWS AND COMMENTARY* 🗞
🔥 Here we go again! But this time, I was ready for them. Corporate media was up to its old fear mongering tricks this week, when the usual media suspects all ran variations of the same alarming story, exemplified by WebMD’s article headlined, “Ohio Measles Outbreak Grows, Fueled By Vaccine Hesitancy.”
Uh huh. Smells like fake news! Let’s squash it right now.
Fortunately, my razor-like instincts, sharpened by two years of narrative voodoo combat, immediately detected the scent of a small, scurrying, furry rodent with Fauci-like features. And I was right.
WebMD made its article’s premise clear: Measles is spreading and dastardly anti-vaxxers are behind it all! Its reporter breathlessly wrote:
The Ohio measles outbreak continues to expand, with cases now totaling 81 – a 37% increase in the course of just 2 weeks.
The lead health official where the outbreak is occurring said the driving force behind the spread is vaccine hesitancy. Most of the children infected were unvaccinated but were old enough to get the measles, mumps, and rubella (MMR) shot, which is 97% effective at preventing measles.
“I think these are individuals who are making a decision not to protect their children against vaccine-preventable diseases, and some of them are making a specific decision not to use the MMR vaccine,” [said] Columbus Public Health Commissioner Mysheika W. Roberts, MD[.]
If a parent wants to let their kid get measles, to develop natural immunity, how is it the state’s business?
I tracked the story to its source. Round and round it goes. The WebMD article, along with all the other similar ones in other venues like CNN Health, they all came from a single story planted, I mean published, in JAMA on December 15th, which soberly reported the current apocalyptic threat to public health:
A measles outbreak is underway this winter in central Ohio, where 73 known cases and 26 hospitalizations have occurred since late October, according to health department data updated on December 12. The Columbus-area outbreak comes on the heels of an unrelated cluster [of 22 cases in Minnesota this year.
You guys still with me? WebMD said there are 73 cases in Ohio and 22 cases in Minnesota. Remember those numbers.
Next, the world’s premier medical journal reported the first bit of actual good news, even though JAMA thinks it’s grotesque, anti-scientific backsliding into medieval medical thinking, like bleeding people for their inconstant humours or something:
According to the November 25 Morbidity and Mortality Weekly Report (MMWR), an estimated 24.7 million children worldwide missed their first measles vaccine dose through routine immunization services in 2021, and another 14.7 million missed their second dose.
Haha, they “missed” their doses. How about that. Progress! I wonder WHY those parents don’t trust the safe and effective measles vaccine.
I’m not baffled, though.
The JAMA article then disclosed its story was based on a single WHO report — things became even clearer — and the WHO writer warned its institutional readers in very stark terms, about … measles.
“With record lows of nearly 25 million children who did not receive even one dose of measles vaccine, suboptimal early detection of measles outbreaks through surveillance, and large ongoing outbreaks,” she said, “measles is an imminent threat in every region of the world.”
It’s an imminent threat! To the entire world! Quick, apply mandates!
JAMA then drew a line directly between the Ohio “outbreak” and vaccine hesitancy, citing exactly the same health administrator in Ohio that WebMD did. That’s science, apparently. One health administrator’s goofy opinion, and corporate media is off to the races. Anyway, here’re the overwrought unscientific paragraphs that JAMA squeezed out of the Ohio lady’s hatred for anti-vaxxers:
In the US, most children today have access to vaccines, Ratner said in an interview. Vaccine hesitancy, however, is a major barrier to childhood vaccination that is growing in importance, he said.
… During the pandemic, vaccination turned “into this insanely polarized political thing,” he said, further eroding vaccine acceptance. “Once there was that kind of hesitancy out there and that kind of divisiveness, it’s not surprising that it has bled over into people thinking about vaccine mandates and childhood vaccines in general.”
Vaccine hesitancy—or outright refusal—is driving the measles outbreak among children in central Ohio, according to Mysheika W. Roberts, MD, MPH, health commissioner for Columbus Public Health, the jurisdiction where about 95% of the total cases have occurred. Even before the COVID-19 pandemic threw fuel on antivaccination sentiment, pockets of her community refused the measles-mumps-rubella (MMR) vaccine, she said in an interview.
She attributed this refusal to a persistent misconception that the vaccine causes autism… “I think these are individuals who are making a decision not to protect their children against vaccine-preventable diseases, and some of them are making a specific decision not to use the MMR vaccine,” Roberts said.
Doctor Roberts thinks it’s the anti-vaxxers. She “thinks” so. How can she be sure, she’s working at the speed of science. In other words, she’s NOT SURE:
When asked if her community is undervaccinated, Roberts replied, “That’s a great question.” Her jurisdiction’s measles vaccination rate is estimated at 80% to 90%, but accurate data aren’t available because reporting to Ohio’s vaccine registry isn’t mandatory, she explained.
This entire multi-media anti-science house of measles cards is built out of the frustrations of Mysheika (if that’s her real name) Roberts, some random health commissioner in Columbus, Ohio, and we are meant to believe she’s some kind of global measles expert, and start signing up for mandates or something.
No, thanks.
But it gets better. It’s ALL fake. It literally took me under 30 seconds of searching on DuckDuckGo to find this old 2014 story:

2014! Did you remember your 2022 numbers? The alarming WebMD article reported a shocking number of 73 measles cases in Ohio this year so far. Let’s see what the numbers looked like way back in 2014, long before the current pandemic of rabid anti-vaccine sentiment:
At least 155 people have caught the highly contagious respiratory disease, according to the Ohio Department of Health. That’s up from 68 infected as of May 13.
Oh. A hundred and fifty-five. Only halfway through 2014, in June. What month are we in again now? That’s right, DECEMBER. So we’ve half the cases in December 2022 than we had during the first half of the 2014 measles “outbreak” of 155 kids in June 2014. Okay. But… we’re supposed to … what? Panic or something?
Please.
Searching Twitter, I found HUNDREDS of nearly identical breathless, fear-mongering tweets about the terrifying new “outbreak” when I searched for “Ohio measles”. I then spent fifteen minutes posting corrective replies, until my fingers were bleeding and I had to stop. But the fearful tweets kept scrolling downward into infinity.
There’s an outbreak, all right. It’s just not an outbreak of anti-vaxx driven measles infections. It’s an outbreak of stupidity.
We are NOT doing this again. Nope. Sorry, WHO, Sorry, JAMA. Sorry, germaphobes. Get a grip.
🔬 A new Cleveland Clinic pre-print study posted Monday, titled “Effectiveness of the Coronavirus Disease 2019 (COVID-19) Bivalent Vaccine.” Let me spoil it for you: They found the bivalent vaccine was NOT very effective. But guess what else they found?
The study observed over 50,000 Cleveland Clinic employees from the beginning of the pandemic. Let’s start with how the study ended, with this amazing concession of scientific ambiguity:
We still have a lot to learn about protection from COVID-19 vaccination, and in addition to a vaccine’s effectiveness it is important to examine whether multiple vaccine doses given over time may not be having the beneficial effect that is generally assumed.
Still have a lot to learn, eh? And here I thought the “science was settled.” Shows what I know, I’m just a lawyer. But why’d the Cleveland Clinic researchers admit that ambiguity? Because of the study’s most important finding:
Risk of COVID-19 increased with time since the most recent prior COVID-19 episode and with the number of vaccine doses previously received.
Holy jab juice, Batman. In other words, the more jabs, the more and faster the covid infections. The researchers weren’t prepared for that finding, or for the fact that the increased risk of catching covid was seen, not in decrepit, nearly-dead old people in care homes, but in young, healthy healthcare workers without co-morbidities:
The association of increased risk of COVID-19 with higher numbers of prior vaccine doses in our study, was unexpected. A simplistic explanation might be that those who received more doses were more likely to be individuals at higher risk of COVID-19. A small proportion of individuals may have fit this description. However, the majority of subjects in this study were generally young individuals and all were eligible to have received at least 3 doses of vaccine by the study start date[.]
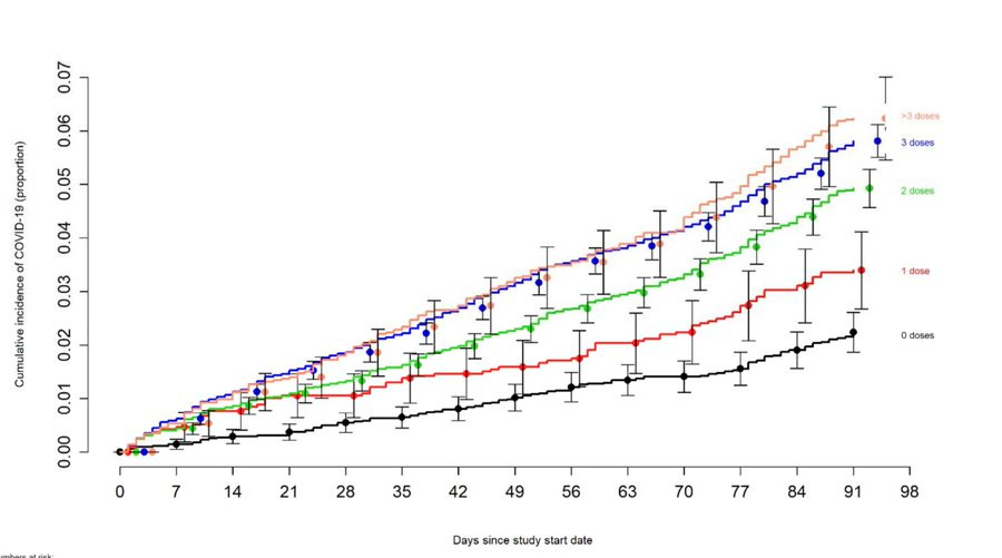
Take a close look at the researcher’s chart, below. The Y-axis is the proportionate risk, based on the number of times people caught covid, and how often. The x-axis is the number of days from their first dose. The colored lines represent the number of doses received.

Over a 90-day period, participants with three or more doses faced a risk of catching covid up to SIX TIMES higher than the baseline. Six times higher, over just the first 90 days! But drop down to the zero doses line — the “unvaccinated” — and discover those lucky souls enjoyed the LOWEST risk of infection.
Weird. Seems backwards somehow.
Remarkably, every single dose of the “vaccine” proportionately INCREASED the risk of infections. That strongly suggests some kind of correlation. And it’s not how traditional vaccines work, not at all.
The Cleveland Clinic researchers mused about the unvaccinated and unboosted, which — amazingly — included almost HALF of the healthcare workers in the study. The researchers figured unvaccinated and low-vaccinated people were the ones most likely to NOT wear masks, isolate, or otherwise mitigate their risks but, despite being covid “risk takers,” they were STILL catching covid less often than their boosted co-workers:
[T]hose who received fewer than 3 doses (>45% of individuals in the study) were not those ineligible to receive the vaccine, but those who chose not to follow the CDC’s recommendations on remaining updated with COVID-19 vaccination, and one could reasonably expect these individuals to have been more likely to have exhibited higher risk-taking behavior.
Despite this, their risk of acquiring COVID-19 was lower than those who received a larger number of prior vaccine doses. This is not the only study to find a possible association with more prior vaccine doses and higher risk of COVID-19. A large study found that those who had an Omicron variant infection after previously receiving three doses of vaccine had a higher risk of reinfection than those who had an Omicron variant infection after previously receiving two doses of vaccine.
Another study found that receipt of two or three doses of a mRNA vaccine following prior COVID-19 was associated with a higher risk of reinfection than receipt of a single dose. We still have a lot to learn about protection from COVID-19 vaccination, and in addition to a vaccine’s effectiveness it is important to examine whether multiple vaccine doses given over time may not be having the beneficial effect that is generally assumed.
Alert commenters noted that, during animal trials for earlier failed coronavirus vaccines, the poor mice’s immune systems were completely destroyed. A strange coincidence. It makes you wonder. What do they call doing the same thing over and over again and expecting a different result? It’s called … what’s the word … I can’t think of it right now. But it’s not good.
Pfizer didn’t conduct any animal trials this time, unless you count those eight mice, now deceased.
The study’s authors worked diligently to find SOME effectiveness of the new bivalent vaccine — which is critical for getting past journal editors — and managed to scrape up a “modest” 30% effectiveness rate. Thirty percent. Back in the day, two years ago, vaccines with less than 50% effectiveness could not get FDA approval.
But, times change, especially when you’re moving at the speed of science.
😷 Remember that OTHER outbreak I mentioned? I present Exhibit B, New Jersey’s Passaic Schools newest mask mandate, effective starting today:
Passaic Public Schools @PassaicSchools

6:31 PM ∙ Dec 20, 2022127Likes97Retweets
Maybe somebody should tell them.
🔥 This week, Afghanistan’s Taliban made it illegal in that country for women to receive a higher education. No college for you.
Where are those who champion women’s rights?? Taliban officially bans women from obtaining a university education. foxnews.comTaliban officially bans women from obtaining university educationThe Taliban has banned women in Afghanistan from obtaining a university education,according to Tuesday reports. The move is the Taliban…7:08 PM ∙ Dec 20, 20226Likes1Retweet
I bet they don’t have a lot of men pretending to be women over there in Afghanistan.
U.S. feminists were completely silent about the plight of their Afghani sisters. In related news, the democrats’ strong performance in this year’s U.S. election cycle has been widely attributed to unmarried women.

10:52 PM ∙ Nov 18, 20225Likes1Retweet
Maybe the real problem in the U.S. is the UNDER-education of young women. Just saying. Don’t cancel me.
🔥 Some lawmakers are starting to notice how significant Monday’s FBI Twitter Files drop was:
The FBI actively interfering in multiple elections is the biggest threat to our constitutional democracy today6:47 PM ∙ Dec 19, 202280,537Likes15,319Retweets
Yesterday, ANOTHER FBI Files story dropped, this one by investigative journalist Lee Fang.
It’s a lot. The summary version is that, while Twitter was publicly saying (including in sworn Congressional testimony) that it was cracking down on ALL covert government propaganda accounts, behind the scenes it was busily working with the U.S. Department of Defense to help promote and protect U.S. propaganda accounts to influence foreign governments.
I’m still trying to take it all in. But one smart commenter noted how much cheaper it is to knock out a foreign leader using propaganda instead of through kinetic military action. Makes sense… but it is ethical?
It’s unethical. And gross. Our military intelligence agencies have been spamming other countries with fake news, including completely made-up computerized deepfake videos and wild accusations designed to inflame hapless citizens.
Before we get to the question of whether those intelligence weapons may likely have been turned against U.S. citizens since the 2020 election cycle, consider this: The Biden Administration has been constantly complaining, bitterly and often, about foreign propaganda on U.S. social media platforms — all while busily doing that EXACT SAME THING they were complaining was wrong when everybody else was doing it.
In other words, they’ve been blaming other countries for exactly what THEY, themselves, have been doing. Think about what Biden officials been claiming lately about TikTok, for one example.
Before you say it’s fair because the Russians were doing it, it’s not an even playing field. Twitter HAS been working overtime to ban the handful of foreign government-affiliated propaganda accounts, all while secretly promoting hundreds or thousands of U.S.-based fake news accounts and bots.
They weren’t even subtle about it. In this example message, Centcom staff asked Twitter to “whitelist” some of their suspended accounts, because “it sure is tough to do web ops when you can’t Tweet!”

You don’t have to tell us about how hard web ops are when you can’t tweet. We know all about it.
The “whitelist tag” gave validated status to a twitter accounts, same as an official blue check mark, so those accounts would be promoted in searches, and would not be shadow-banned or otherwise limited. Notice also Centcom’s request for a “face to face” meeting, so they wouldn’t have to keep doing these requests in writing.
According to Fang, the U.S. propaganda network relentlessly pushed narratives against Russia, China, and other foreign countries. For example, they falsely accused Iran of threatening Iraq’s water security, flooding the country with crystal meth, and harvesting Afghan refugees’ organs.
Now I’m wondering about the face-covering riots in that country.
Combine all this Twitter censorship, influence peddling, and pure propaganda with the vast budget for pushing vaccines by buying scientists and influencers during the pandemic, and we can begin to see the outlines of a vast a private market for censorship and fake news created by the deep state, which then became its biggest customer.
It’s coming out in a flood now.
🔥 The Epoch Times ran another revealing story yesterday headlined, “EXCLUSIVE: Internet Sting Operation ‘J6 DELETED’ Exposes How Twitter Manipulated Jan. 6 Narrative In Real Time.”
There are a lot of details, facts, and examples in the story, but the gist is that researchers working with the Epoch Times captured all the tweets related to January 6th while the Capitol protest unfolded, and kept track of which tweets were either promoted by Twitter, or suspended and banned. As you probably guessed, lots of conservative accounts and tweets were suppressed, but wild leftwing conspiracy theories and fake news were boosted.
I’ll give you two egregious examples. The first one includes a series of Tracy Beanz’s tweets starting around 1:30pm on January 6th. Beanz, Editor-in-Chief of UncoverDC, was tweeting that a lot of the masked, hooded people attacking police at the Capitol looked nothing like Trump supporters. Then, at 1:53pm EST, Beanz tweeted, “The Trump crowd HAS NOT reached the capitol yet.”
Twitter immediately deleted Beanz’s tweets and her account was permanently banned. Beanz’s account was just finally reinstated this week.

The next example is President Trump himself. The researchers found that on January 6th, when Trump posted a video message calling for peace and to de-escalate the protest, Twitter disabled the message’s ability to be liked or shared. Then Twitter deleted the video and banned Trump from tweeting anything else for 24 hours. Meanwhile, Twitter was also promoting democrat lawmaker’s tweets criticizing the President for not doing anything to address the protest.
Epoch noted that, according to dictionary.com, fascism is “a governmental system led by a dictator having complete power, forcibly suppressing opposition and criticism, regimenting all industry, commerce, etc., and emphasizing an aggressive nationalism and often racism.”
🔥 This week we finally learned what it takes for the Vatican to defrock a Catholic Priest. The New York Times ran a story last weekend headlined, “Vatican Removes Anti-Abortion Activist From the Priesthood.”
According to the Times, Father Frank Pavone, leader of advocacy group ‘Priests for Life,’ and one of President Trump’s religious advisers, was permanently dismissed from the clergy on November 9th, with no possibility of appeal.
A terse letter from the Vatican explained, “This action was taken after Father Pavone was found guilty in canonical proceedings of blasphemous communications on social media, and of persistent disobedience of the lawful instructions of his diocesan bishop.” The Times said the letter did not specify which social media communications, or what disobedience, nor did it name the “diocesan bishop.”
The statement said that Mr. Pavone was given “ample opportunity to defend himself” as well as “multiple opportunities to submit himself to the authority of his diocesan bishop.” But Father Pavone told the Times he still doesn’t know what the blasphemous communications supposedly were, or exactly what he did to disobey said bishop. “I’m waiting for them to point out to me what I did wrong that merits something like this,” he said.
Father Pavone is a prolific, blunt, and spicy tweeter, especially about pro-life issues, and has questioned the results of the 2020 elections. Had he been accused of pederasty, though, he’d probably just have been transferred to another diocese and the records covered up.
🔥 Late last week, the LA court arraigned Paul Pelosi attacker David DePape on attempted murder charges. The Daily Mail UK ran a skeptical story quoting DePape’s son, headlined “EXCLUSIVE: ‘For All We Know He Was Some Sort of Sex Slave’: Son of Paul Pelosi’s Alleged Attacker Says His Father Is Not Evil, Believes in Human Rights and Is ‘Hardly a Right-Wing Conservative’.”
You know what I’d like for Christmas? I’d like to know the end of Paul Pelosi’s hammer-time story, which has apparently all-but disappeared from the public eye. I’d settle for the body cam video, or the external video showing David Depape’s arrival. Give me something!
A mystery for the ages, apparently.
The way things are going, I may just have to console myself with this amusing holiday jingle:
TRUMP SINGS JINGLE BELLS! #Trump #JingleBells #PaulPelosi #CaptainDeplorable #MAGA #MerryChristmas
11:00 PM ∙ Dec 14, 20224,113Likes1,337Retweets
Have a wonderful Wednesday! I’ll be back tomorrow, leading the way toward a chilly Christmas.
C&C is moving the needle and changing minds. It’s important. If you can, I could use your help this Christmas getting the truth out and spreading optimism and hope: https://www.coffeeandcovid.com/p/-learn-how-to-get-involved-
Twitter: @jchilders98
Truth Social: @jchilders98
MeWe: mewe.com/i/coffee_and_covid.
C&C Swag! www.shopcoffeeandcovid.com
Emailed Daily Newsletter: https://www.coffeeandcovid.com
The views and opinions expressed in this commentary are those of the author and do not necessarily reflect the official position of Citizens Journal Florida.








